Главная
Каталог
Автоматизированные газораспределительные станции
Блок управления подогревателем газа БУПГ-24-6-У2
Блок управления подогревателем газа БУПГ-24-3-У2
Блок управления одоризатором БУО-02
Блок управления подогревателем газа БУПГ-24-3М.1-У2
Блоки подогрева природного газа ГПМ-БППГ
Блоки технологические для подготовки горючих газов
Газорегуляторные пункты блочные ГРПБ
Газорегуляторные пункты с узлом учета расхода газа ГРПУ
Газорегуляторные пункты типа ГРП, ГРПШ, ГРПН, ГРУ
Горелки инжекционные многосопловые
Емкости для слива теплоносителя ЕТ
Краны шаровые
Мобильный узел подачи газа ГПМ-МУПГ
Одоризаторы газа
Подогреватели газа автоматические «ГПМ-ПГА»
Подогреватель нефти типа ГПМ-ПН
Подогреватель топливного и пускового газа
Предохранительно-запорные клапаны
Пункты учета расхода газа ПУ
Регуляторы давления газа
Теплообменники газоводяные типа ГПМ-ТГ
Транспортабельные котельные установки "ТКУ ГАЗПРОММАШ"
Фильтры газовые
Фильтры-сепараторы газовые типа ФС
Шкаф контроля и управления газораспределительной станцией ШКУ ГРС
Шумоглушители ШГ
О предприятии
История
Фотогалерея
Видео
Официальные представители
Наши партнёры
Вакансии
Документы
Опросные листы
Разрешения
Сертификаты соответствия
Сертификаты ГАЗСЕРТ
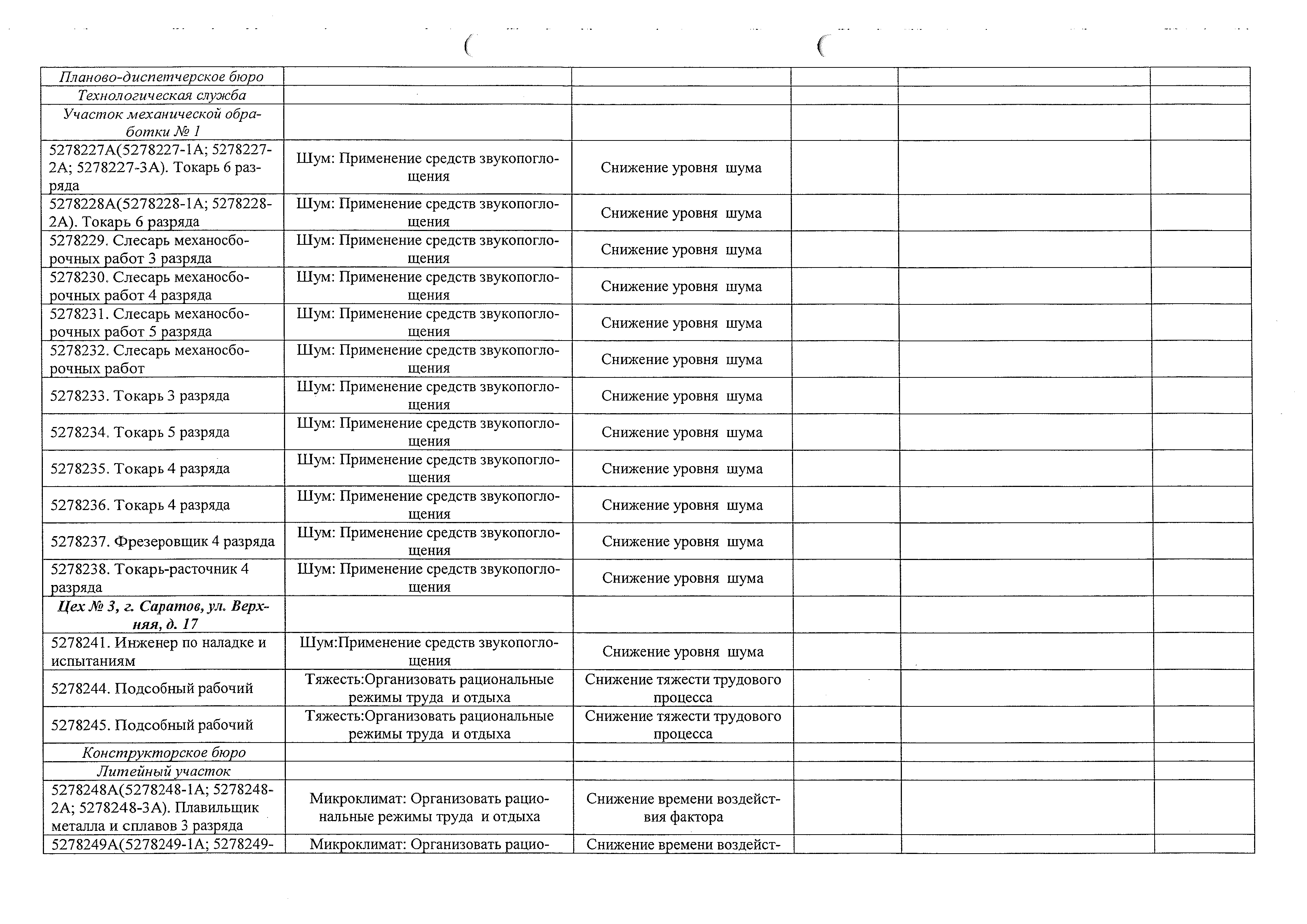
Специальная оценка условий труда (СОУТ)
Политика в области качества и сертификаты СМК
Политика по противодействию коррупции
Новости
Вестник
ВЕСТНИК ГАЗПРОММАША выпуск 1
ВЕСТНИК ГАЗПРОММАША выпуск 2
ВЕСТНИК ГАЗПРОММАША выпуск 3
ВЕСТНИК ГАЗПРОММАША выпуск 4
ВЕСТНИК ГАЗПРОММАША выпуск 5
ВЕСТНИК ГАЗПРОММАША выпуск 6
ВЕСТНИК ГАЗПРОММАША выпуск 7
ВЕСТНИК ГАЗПРОММАША выпуск 8
ВЕСТНИК ГАЗПРОММАША выпуск 9
ВЕСТНИК ГАЗПРОММАША ВЫПУСК 10
Контакты
Вы здесь
Главная
|
Документы
|
Отчёты
СОУТ 2025